Death Rows
My Quick Analysis of Death Metrics in New ICE Deportation DataWith Everlasting Thanks to the Deportation Data Project
Here we are. Last month of the year. Glad we’re in this together. Thanks for being here, and engaging however works for you.
Quick programming note:
If you’re interested in joining a very low-key and welcoming FOIAFriday reading group, please send me a message, either through this app or via my email at Andrew@detentionkills.org. It’s not limited to discussions around deaths in DHS custody. Instead, we talk through Freedom of Information laws, strategies, and tactics and form little parasocial communities working together to make ourselves more informed, better equipped agents of change. This month’s cohort begins this Friday and will do four weeks of 90-minute skill-up calls (likely running into mid-January, given the holidays). If your December’s packed but you’d like to get on the list for January or February, just let me know!
Thanks again for being here now. It means a lot to feel less alone in this work.
New ICE Data
The Deportation Data Project announced a release of three new datasets this afternoon: arrests, detainers, and detentions. I’ve found these datasets an invaluable resource for learning about how ICE is handling deaths in custody within its databases. The insights we can glean shed new light on the picture government officials are seeing, if they bother to look.
This post will be as much about methods of working with the data as it will be about analyzing what they say (and what they don’t). My hope is that sharing these ways of looking at what the agency released might help spark creative approaches within our community, and better understandings of what happened in the lookback period. That period, btw, is September 2023 - mid-October 2025.
Detentions and Deaths
The first thing I’m looking at in this dataset are the people in the “Detentions” spreadsheet whose Stay Release Reason is listed as “Died”. If we add a filter and sort that column, we can find all those entries. Because the datasets contain both unique identifiers (far right column) and a date of death, we can correlate what we’re seeing in the spreadsheet with the public database I maintain and find out whose death is counted, and whose isn’t, within this dataset.
Who’s Here? Who’s Not
Lalo Avellaneda and Juan Tineo Martinez are missing. I think I can explain both omissions, based on the facts and reporting I’ve done for the 2025 Deaths in Custody report we’ll be releasing January 15, 2026. (I moved our release date back to account for the government shutdown and ensure we had ample time to finalize and fact-check the report).
Ramesh Amechand is also missing from the list. The 60 year-old Guyanese national passed away in the hospital on December 16, 2024, following his detention at Krome. But when I sorted the composite sheet I compile, his death is missing:
I think he’s missing because he was first detained in October 2022, prior to the beginning of the dataset.
Also somewhat reassuring is the absence of any unique identifier and death data we didn’t already know about. This indicates that for the period covered in this dataset, ICE reported all the people its database shows died in detention. That’s good.
Observation 1 - Time in Custody Before Death
Something else I was able to do because of the format of this data was easily calculate the length of time between the beginning of a person’s detention and the date they died. Some interesting trends emerge when we analyze by length of time in detention:
Roughly 1 in 5 people (21.21%) who died in ICE detention between September 2023 and Mid-October 2025 passed away during their first week in ICE custody.
About half (51.51%) of the people in this dataset passed away within their first 30 days in custody.
Three quarters of people who died (75.76%) did so within the first 100 days in detention.
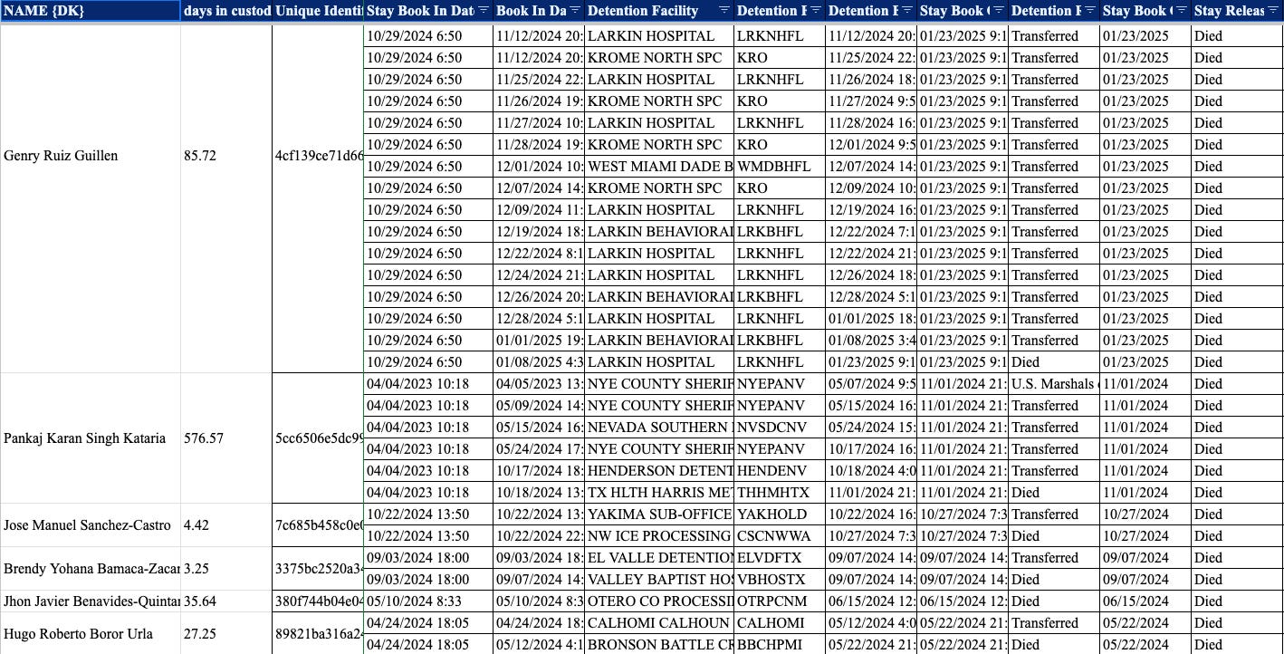
Charles Leo Daniel was in custody the for the longest period before passing away (1436) days, followed by Pankaj Karan Singh Kataria (576 days) and then Jaspal Singh (289 days).
The average length of time people in the dataset were in ICE custody before passing away was 119 days. We need to remember, though, that outliers like Ramesh, Lalo, and Juan Tineo Martinez would change these figures somewhat.
Observation 2 - Pre-Death Transfers & Multiple Book-In Events
Because we have unique identifiers and dates of death to correlate to our pre-existing database, we can also see that many of the people who died were booked in to multiple facilities or hospitals prior to passing away.
75.75% of people in the dataset (25 of the 33) have more than one book-in facility associated with their unique identifier.
54% of people have 3 or more reported book-ins.
The most typical course here is for a person to be first booked into detention in a hold room, then transferred to a larger facility, then transferred to a hospital.
20 is the highest number of book-ins reflecting a transfer or hospitalization for any single decedent.
That was what happened with 29 year-old Honduran national Genry Ruiz Guillen, who spent 85 days in ICE custody going back and forth between Krome and various hospitals in south Florida. Reading over his dummy death report, it is clear that something was really, really wrong, likely exacerbated by poor care at Krome. He went from having dizziness to seizures to being diagnosed as ‘psychotic’ to being “catatonic” and experiencing a breakdown of muscle tissues (rhabdomylolysis).
Observation 3 - Death Rows
It’s probably obvious to you by now if you, like me, spend too much time in these sheetz, but the data ICE is putting out has some really important limitations to consider when thinking how we talk about it. First, there are definitely multiple rows of detention information for single unique identifiers. Second, there are multiple unique identifiers for single individuals. Third, there are gaps between arrests and detentions, where a person whose unique identifier shows up in the Detentions sheet might not necessarily be showing up in the Arrests sheet. Finally, the neverending quest to trace people through the process (across sheets) from encounter / detainer to arrest to detention to deportation using unique identifiers is . . . not as easy or straightforward as it should be. The death rows show this because we can associate them with individuals for which the agency has disclosed concrete data.
Arrests and Undisclosed Deaths ?
The data are not so reassuring when it comes to ICE’s Arrests spreadsheet. To begin, I sorted the data for people in the Arrests sheet whose Case Status is listed as 7-Died. Then I matched the people whose unique identifiers are correlated in the Detentions Spreadsheet to the unique identifiers in the Arrests sheet. Then I check folks’ country of origin, year of birth, departure date, and arrest location to fill in additional names of folks whose unique identifiers don’t match from one spreadsheet to the other, yielding a couple more matches.
What’s left staring back at me, taunting, are 15 arrests of people ICE say it arrested during the first 10 months of 2025 whose case status is “Died” but who are not listed in any ICE death data. Six of these folks have no final order of removal, according to the dataset, meaning they should not have been deported. The ages, locations of arrest, and countries of citizenship don’t match up with public reports I’m following.
For instance, I haven’t seen anything on a Venezuelan man born in 2000 dying in June after an El Paso-area ICE arrest on April 25; or a man from Turkey born in 1998 who died in March of this year following his arrest in August 2024? Or an Iraqi national born in 1969 dying in June 2025 after his arrest in April? Or a 23-24 year-old guy from Somalia dying January 24, 2025, after his arrest in Utah by ICE on April 3, 2024? A woman in her thirties from Mexico dying in August after being arrested during a worksite enforcement against in Michigan that happened July 24?
I ran the first several unique identifiers through the ICE detentions spreadsheet, in case they’re there but listed under a different designation than having died. I did not find them there.
So, what is going on here?
Perhaps you all might want to help me track these cases down?
A link to the data I’m looking at, which I compiled and organized using today’s ICE data drop, is here: Tinyurl.com/NewICEData. The data I pulled this from is on the Deportation Data Project’s website.
An Update on the Detainer Deaths Data, and a Possible Explanation
Several months ago I wrote about a large number of ICE detainer requests in the datasets Deportation Data Project secured from the agency where the detainer lift reason is coded as “died”. Since then, I’ve filed dozens of public records requests with the agencies that received the detainer, and some additional requests, based on those agencies’ responses, to county medical examiner and coroner’s offices. Whatever led the agency to mark the individual down as having “died” as the reason their detainer was cancelled, in all of the cases for which I’ve received responses, the person subject to the detainer did NOT die in custody.
This was true of an entry earlier this year in Cobb County, Georgia, where I got responses from both the jail and the ME ruling out an in-custody death of the person who ICE listed its reason for lifting the detainer as “died”. It was also true of similar entries in Los Angeles and Idaho.
What I suspect may be happening is that the folks behind the detainer desks are running the person’s name / fingerprints / other data through LexisNexis and finding a death certificate associated with them, or some other convincing evidence that they’re no longer alive. Perhaps that’s what explains the entries in the Arrests sheet, too?




I'm wondering if American prisoners are have the same death rate?
Wow 🤯! Thats a lot of info to break down. For the deaths in custody occurring the first week or first 60 days I would be interested to see if they were diabetic or had high blood pressure. Also if any suicides are a cause of death. I highly doubt they would report it but due to the amount of detainees and the conditions I would guess it will occur if it hasn’t already. Thank you for your diligence